To unify gravitational interaction with other three kinds of interaction are a work hadn’t been finished by Albert Einstein and a big problem that human must solve to continue living in the universe. As the covariant derivative in gravitational theory, i.e., ∇μψλ=∇μψλ+Γμνλψλ in general relativity has similar structure to that ∇μψλ=∂μψλΓμλνψλ in gauge theory, Dμψi=∂μψi-ieqiAμψi(it is worth mentioning that for the covariant derivative for a covariant vector), people asked whether there would some links between the connection Γμνλ (or Γμλν for covariant vector) and the graviton, and whether gravity could be described by a gauge theory. Starting from quantum mechanics, the relationship between symmetry and the invariance of the Lagrangian may be the essence of the gauge invariance e(iq_i θ)Dμψi=Dμe(iqiθ)ψi in gauge theory, which represents the invariance of Lagrangian under a gauge transformation; therefore, a gauge theory of gravity may also be built in a similar way from this relationship by
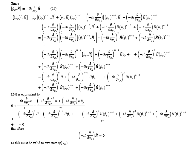
for which reason the covariant derivative of a tensor ∇μψβα must remain to be a tensor as the original tensor ψβα, and it leads to the existence of connection Γμνλ or Γμλν .
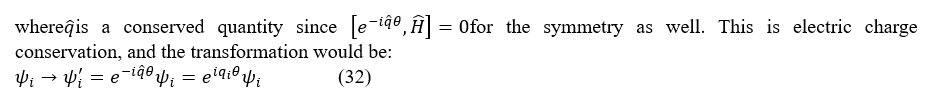
The conservation law has theoretical explanation in quantum mechanics. When there is a symmetry, the system, i.e., a state would keep invariant after a transformation which is under this symmetry.
Supposing there is a symmetry A, the transformation under this symmetry is  an arbitrary state is ψ, then ψ would be invariant under transformation Â, that is,
Thanks to everyone.
None.
Author declares that there is no conflict of interest.
- 1. Qian Bochu. Quantum Mechanics. Higher Education Press. Beijing.
- 2. Duan Yishi. General relativity and gravitational gauge theory. Science Press. Beijing.
- 3. Yang CN. Gauge invariance in classical field theories. Phy Rep. 1978;9C:1.
